Learning Paths / Short Theoretical Introduction / Preference Independence

3.7 Preference Independence

Definition 2.6.1

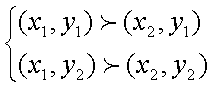
Attribute X1 is preferentially independent of attribute X2 if for all x1, x1' X1
  ( 2.6.1)
for some X2
  ( 2.6.2)
for all X2

Thus, if the attribute X is preferentially independent of the attribute Y, preferences for specific outcomes of X do not depend on the level of the attribute Y.

Definition 2.6.2

Attributes X1,..., Xn are mutually preferentially independent if all subsets S'S={X1 X2 ... Xn} are preferentially independent of their complement S'c in {X1 X2... Xn}.

Consider the following example.

A person is making a decision about moving to a new house and buying a new car. Let the attribute X denote the location of the new house, and the attribute Y denote the make of the car. The possible values of the attributes are
X: {x1=Helsinki, x2=a dessert in Africa}
Y: {y1=Ferrari, y2=Jeep}
Suppose
  ( 2.6.3)
That is, Helsinki is always preferred to Africa, irrespective of the car in question.
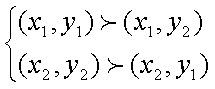
However, it may well be that
  ( 2.6.4)
indicating that the person prefers the Ferrari if the new house is in Helsinki, but if the new house is in Africa she considers the Jeep as a better option.
If (3) and (4) hold, X is preferentially independent of the attribute Y, but Y is not preferentially independent of the attribute X. Thus, the attributes are not mutually preferentially independent.




  Decomposition   Last updated: 09.09.2002 Theoretical Foundations